本帖最后由 vivid 于 2016-6-24 20:13 编辑

这是一群坚强、乐观、质朴的孩子。还是嬉笑玩闹的年纪,却已老早挑起家庭的重担;还未懂得如何去抱怨生活的贫穷,却已明白拼搏的意义。
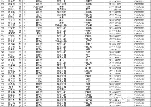
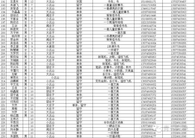
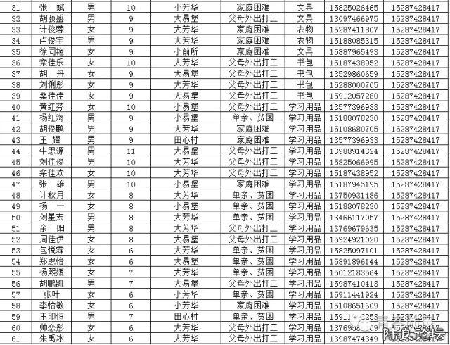
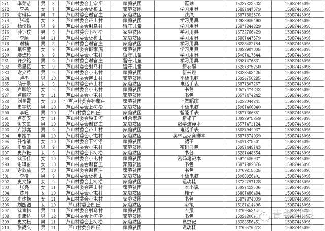
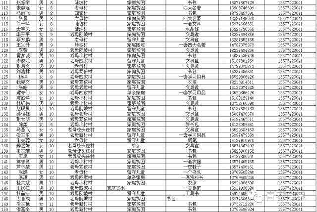
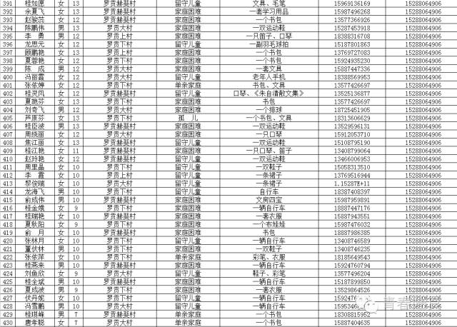
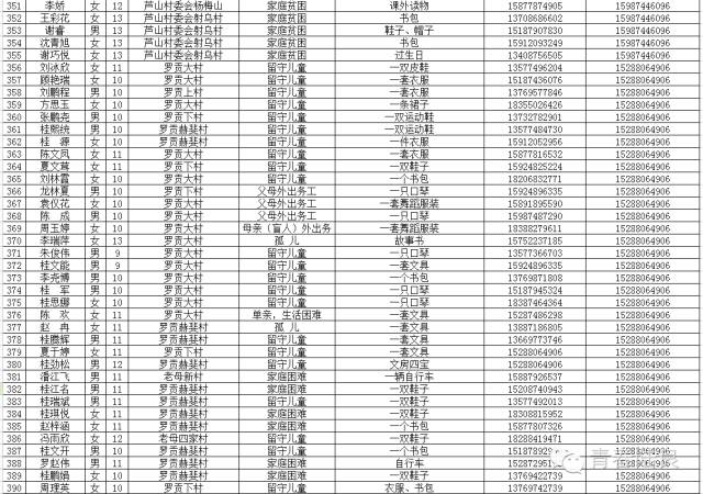
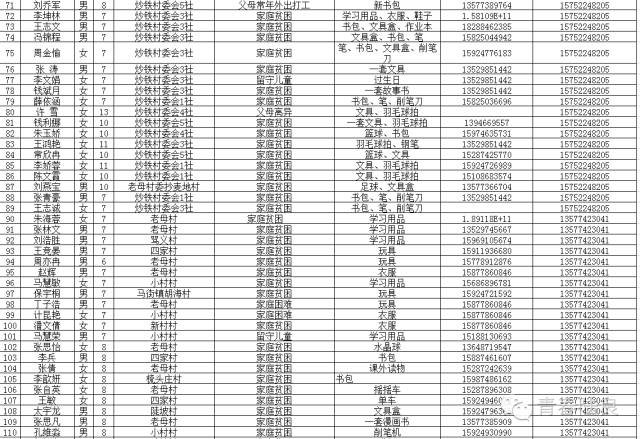
“我想要一个新书包;我想要一双新鞋;我想要一盒彩笔……”,这些城里孩子眼中的寻常物,对于身居农村的留守儿童来说,一个个简单的“微心愿”说的却是他们的“大梦想”。
为了帮留守贫困儿童实现最期盼、最想实现的“微心愿”,截至目前,共青团陆良县委共征集了来自10个乡镇(街道、区)的1700余个“微心愿”(其中400余个微心愿已被认领)。
现将未被认领的“微心愿”公布如下,期待热心公益事业的爱心天使认领。 1、板桥镇共计38个“微心愿”
3、芳华镇板田小学共计21个“微心愿”
4、芳华镇乘民小学共计36个“微心愿”
5、芳华镇芳华小学共计61个“微心愿” 6、芳华镇高栗树小学共计24个“微心愿” 7、芳华镇龙潭小学共计31个“微心愿”
8、芳华镇戚家山小学共计40个“微心愿” 9、芳华镇狮子口小学共计37个“微心愿” 10、芳华镇小合山小学共计34个“微心愿” 11、芳华镇雍家学校共计20个“微心愿” 12、芳华镇雨补小学共计30个“微心愿” 13、华侨管理区共计9个”微心愿“ (未完待续) 青们,小小的童心需要爱的怀抱来温暖,小小的心愿需要您的行动来慰藉。如果您想参加“青春扶贫 微心愿”认领活动,请联系我们。 想认领的,可直接留言,留下你的姓名、联系电话和欲认领心愿编号。
联 系 人:丁婷 陈九丽 联系电话:0874-6222535 官方微信:青春陆良(微信号:gqtlltw99) 官方微博:lltxw@126.com 通讯地址:陆良县东门街23号政府大院
|